Blog
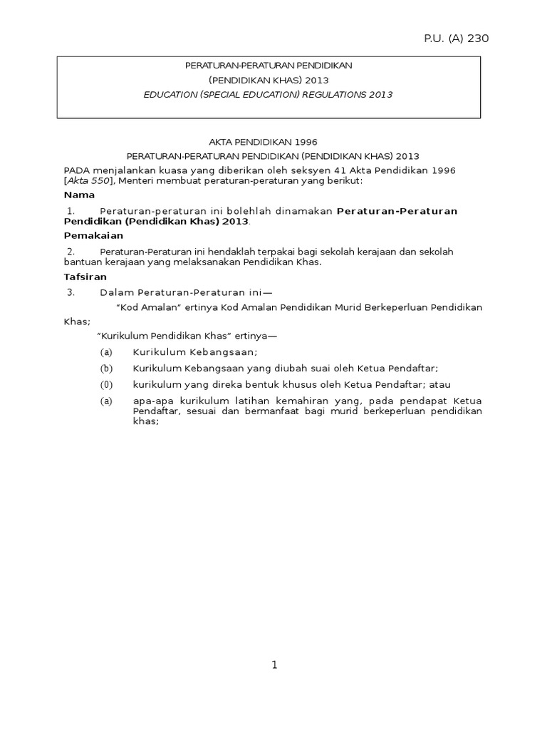
Peraturan Pendidikan Khas 2013
ucapan selamat hari jadi tni
turun padang in english
ucapan selamat hari jadi pernikahan bahasa inggris
ucapan selamat hari jadi pernikahan dalam bahasa inggris
ucapan selamat hari jadi kabupaten tangerang
ucapan selamat hari jadian yang ke 1 bulan
ucapan selamat hari jadi kota bandung yang ke 210
ucapan selamat hari raya aidiladha 2019
Peraturan Peraturan Pendidikan Pendidikan Khas 2013 Quiz Quizizz
Peraturan P Khas
Peraturan Pendidikan Khas 2013
Peraturan Pendidikan Khas 2013
Peraturan Pendidikan Khas 2013
Peraturan Pendidikan Khas 2013
Peraturan Pendidikan Khas 2013
Peraturan Pendidikan Khas 2013
Peraturan Pendidikan Khas 2013
Peraturan Pendidikan Khas 2013 Pendidikan Khusus Inklusi Pendidikan
Kuiz Peraturan Pendidikan Khas 2013 Quiz
Peraturan Pendidikan Khas 2013
Konsep Program Pendidikan Inklusif
Peraturan Pendidikan Khas 2013
2
Pendidikankhas
Peraturan Pendidikan Khas 2013
Peraturan Pendidikan Khas 2013
Senarai Sekolah Pendidikan Khas Di Negeri Sembilan Perokok R
Https Ejournal Uksw Edu Scholaria Article Download 2 2
Source :
pinterest.com
Random Posts
Contoh Poster Ucapan Selamat Hari Jadi Bandung
Contoh Soalan Ujian Kemasukan Sekolah Berasrama Penuh
Contoh Adat Resam Di Malaysia
Contoh Ucapan Selamat Hari Jadi Kabupaten Klaten
Contoh Lukisan Poster Hari Kemerdekaan 2020
Contoh Surat Kebenaran Berniaga
Contoh Surat Kepada Salah Satu Menteri Negara
Contoh Trend Persekitaran Semasa Dalam Perniagaan
Contoh Nilai Kepercayaan Kepada Tuhan
Contoh Borang Delivery Order
Contoh Soalan Ujian Kemasukan Tahun 1 Sekolah Agama
Corak Batik Ikat Celup
Contoh Produk Makanan Inovasi Baru
Comfort Gloves Share Price
Criminal Breach Of Trust Malaysia
Contoh Ulasan Keselamatan Di Jalan Raya
Contoh Barang Eksport Malaysia
Contoh Gambar Ucapan Selamat Hari Jadi Kota Bandung
Colony Co Working Space
Contoh Lukisan Poster Hari Sukan Negara